Resumo de física: Campo elétrico
Compartilhe essa matéria: Link copiado! O campo elétrico é o campo de força provocado pela ação de cargas elétricas, (elétrons, prótons ou íons) ou por um sistemas delas. Cargas elétricas num campo elétrico estão sujeitas e provocam forças elétricas. A fórmula para se calcular a intensidade de um campo elétrico (E) é dada pela relação […]
O campo elétrico é o campo de força provocado pela ação de cargas elétricas, (elétrons, prótons ou íons) ou por um sistemas delas. Cargas elétricas num campo elétrico estão sujeitas e provocam forças elétricas.
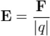
A fórmula para se calcular a intensidade de um campo elétrico (E) é dada pela relação entre a força elétrica (F) e a carga de prova (q): 
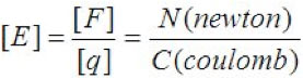
E as unidades de campo elétrico se dão em:

Vale notar que um campo elétrico só pode ser detectado a partir da interação do mesmo com uma carga de prova. Caso não haja interação com a carga, podemos dizer que o campo não existe naquele local.
Quando o campo elétrico é criado em uma carga positiva ele, por convenção, terá um sentido de afastamento. 
Quando o campo elétrico é criado em uma carga negativa ele, por convenção, terá um sentido de aproximação.








