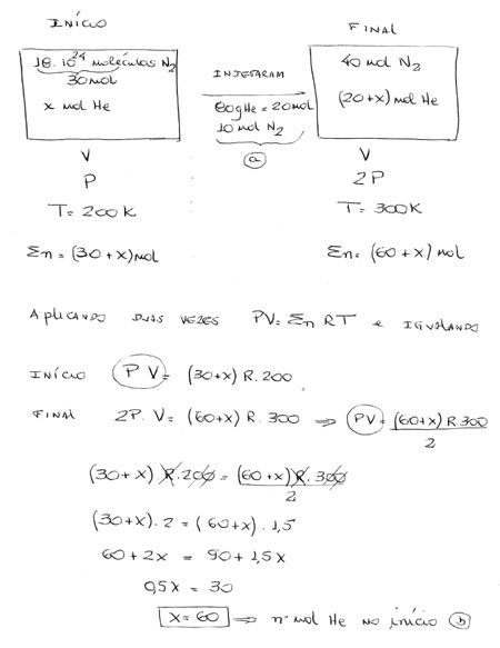
Um recipiente indeformável contém uma mistura de gases He e N2. Inicialmente havia 18.10^24 moléculas de N2 e certa quantidade desconhecida de gás Hélio (He). Em seguida foram injetados mais 80 g de He e 10 mol de N2, sendo que após esta injeção a pressão dobrou. Sabendo que a temperatura inicial era de -73°C e que a temperatura final era de 27°C, calcule qual o número de mols de Hélio inicialmente no recipiente.
Enviado por Michael Silva

Confira todo o conteúdo Abril em https://grupoabril.com.br/





