Uma partícula se move no eixo x de acordo com a equação x = 50t + 10t, em que x esta em metros e t em segundos. Calcule: (A) a velocidade média da partícula, durante os primeiros 3,0s de movimentos, (B) a velocidade instantânea da partícula em t=3,0s
Enviado por Maiza dos Santos
Olá Maiza, tudo bem? Acredito que a questão que você mandou seja:
X = 50t + 10t2
Esta equação diz respeito a um Movimento uniformemente Variado, ou seja, com aceleração constante. Desta maneira uma representação genérica pode ser dada por:
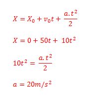
X = X0 + v0.t + (a.t2)/2
Sendo:
X = Posição para um instante (t);
X0 = Posição inicial do corpo.
v0 = Velocidade inicial do corpo.
t = instante em que desejamos determinar a posição do corpo.
a = aceleração do corpo.
a) Sendo a equação:
X = 50t + 10t2 ; para t = 3s, temos
X = 50(3) + 10(3)2 =240 m
X = 240m.

b) Para o Movimento Uniformemente Variado a equação Horária da Velocidade é dada por:
v = v0 + a.t
Temos que encontrar a aceleração:
Como:

Logo, como:

Respondido pelo professor de Física do cursinho do XI, Francisco Flavio Ribeiro Viana.
Tema de redação do Enem PPL 2025 é a idade mínima para o trabalho como proteção à infância
Nessa distopia brasileira, Amazônia é pano de fundo para apagamento da velhice





