Equilíbrio Químico: Como cai na prova
1. (PUCPR 2016) O Princípio de Le Chatelier infere que, quando uma perturbação é imposta a um sistema químico em equilíbrio, este irá se deslocar de forma a minimizar tal perturbação.
Disponível em: <brasilescola.com/exercicios-quimica/exercicios-sobre- principio-le-chatelier.htm>
O gráfico apresentado a seguir indica situações referentes à perturbação do equilíbrio químico indicado pela equação ![]()
A partir da equação química apresentada e da observação do gráfico, considerando também que a reação é endotérmica em favor da formação do ácido iodídrico, a dinâmica do equilíbrio favorecerá:
a) a formação de iodo quando da adição de gás hidrogênio.
b) o consumo de iodo quando da adição de gás hidrogênio.
c) a diminuição na quantidade de ácido iodídrico quando do aumento da temperatura.
d) o aumento na quantidade das substâncias simples quando ocorrer elevação da pressão total do sistema.
e) formação de gás hidrogênio na reação direta a partir de em virtude da adição de ácido iodídrico.
2. (UEG 2013) Durante a manifestação das reações químicas, ocorrem variações de energia. A quantidade de energia envolvida está associada às características químicas dos reagentes consumidos e dos produtos que serão formados. O gráfico abaixo representa um diagrama de variação de energia de uma reação química hipotética em que a mistura dos reagentes A e B levam à formação dos produtos C e D.

Com base no diagrama, no sentido direto da reação, conclui-se que a
a) energia de ativação da reação sem o catalisador é igual a 15 kJ.
b) energia de ativação da reação com o catalisador é igual a 40 kJ.
c) reação é endotérmica.
d) variação de entalpia da reação é igual a –30 kJ.
3. (UFRN 2013, adaptado) O pH é um dos parâmetros da qualidade da água doce para consumo. Os valores dos parâmetros da qualidade da água para consumo são regulados pelo Conselho Nacional do Meio Ambiente (Conama), entre outros órgãos reguladores. Na Resolução n° 357/2005 do Conama, em relação ao pH para águas doces, definem-se valores aceitos, como os apresentados no quadro abaixo.

Em um laboratório de análise de águas, obtêm-se os seguintes valores de [H+] para quatro amostras de águas, identificadas como IAD, IIAD, IIIAD e IVAD.

Em relação à qualidade da água, a amostra adequada para consumo humano é a
a) IIIAD.
b) IIAD.
c) IVAD.
d) IAD.
REPOSTAS
1. Analisando o gráfico:
• A té o tempo t1 , o sistema estava em equilíbrio químico, ou seja, as velocidades das reações direta e inversa eram iguais. Até aí, então, as reações acontecem nos dois sentidos, sem alterar a concentração dos reagentes (H2 e I2) nem a dos produtos (HI);
• Exatamente em t1 é adicionado H2 , levando ao aumento da concentração desse reagente;

• O u seja, no tempo t1 o equilíbrio é perturbado e, para minimizar esta perturbação, aumenta o consumo do H2. Por consequência, cresce também o consumo de I2 e, finalmente, o aumento na concentração do produto HI;
• Em t2 o sistema entra em equilíbrio novamente.
O enunciado informa, ainda, que a reação é endotérmica (absorve calor) em favor da formação do ácido iodídrico (HI). Isso significa que, se aumentamos a temperatura, favorecemos este sentido da reação – formação de mais HI e consumo maior de H2 e I2.
Agora, analisando as alternativas:
a) Incorreta. Como visto no gráfico, a adição de H2 aumenta a concentração desse gás e favorece o consumo de I2.
b) Correta. O consumo de I2 quando da adição de gás hidrogênio.
c) Incorreta. Você deve se lembrar que, numa reação endotérmica, o aumento da temperatura favorece a formação dos produtos – no caso, a quantidade de HI.
d) Incorreta. Ao contrário, um aumento na pressão total do sistema favoreceria a reação de formação de HI, uma substância composta.
e) Incorreta. O gráfico mostra a adição de H2 , e não sua formação.
Resposta: B
2. Você deve saber interpretar o gráfico:

O catalisador apenas aumenta a velocidade da reação, ao diminuir a energia de ativação. Portanto, a curva mais baixa se refere à reação catalisada. A energia de ativação (Ea) nesse caso é dada pela diferença entre a entalpia dos reagentes antes da reação e durante ela:
Ea = 35 kJ – 20 = 15 kJ
Já a curva maior se refere a reação não catalisada. Calculando a energia de ativação:
Ea = 60 kJ – 20 = 40 kJ
Essas duas constatações descartam as alternativa a e b.
Voltando ao gráfico:
• os reagentes (A e B) têm 20 kJ de entalpia;
• os produtos (C e D) têm entapia – 10 kJ.
Essa diferença nas entalpias indica que houve liberação de energia durante a reação (que, portanto, é exotérmica). Descartada a alternativa c.
Para calcular a variação de entalpia (ΔH), fazemos:
ΔH = Hprodutos − Hreagentes
ΔH = −10 – 20 = − 30 kJ
Resposta: D
3. Por definição, pH = – log [H+]
Assim, o pH de cada amostra é o valor absoluto do expoente da potência:

A única amostra com valor de pH dentro da faixa adequada para consumo é a IIIAD
Resposta: A
RESUMO
Equilíbrio Químico
Reação Reversível: Uma reação reversível é aquela em que os reagentes se transformam em produtos, que voltam a se transformar nos reagentes. Na reação direta, os reagentes A e B formam C e D. Na reação inversa, C e D formam novamente A e B.
Equilíbrio Químico: Uma reação reversível atinge o equilíbrio químico quando as reações direta e inversa continuam acontecendo na mesma velocidade, nos dois sentidos, mas a concentração de produtos e reagentes não se altera.
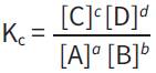
Constante de Equilíbrio: Em uma reação reversível, mantida constante a temperatura, a razão entre as concentrações
de produtos e reagentes elevados a seus coeficientes estequiométricos é constante.
Para a reação aA + bB → cC + dD, a constante de equilíbrio (Kc) é dada por

O valor da constante de equilíbrio é específico para cada reação e não depende das concentrações. O único fator que altera esse valor é a mudança de temperatura.
Deslocamento do equilíbrio: Uma reação química reversível que esteja em equilíbrio tende a permanecer nesse
estado. No caso de falta de equilíbrio, a reação se altera, a fim de alcançá-lo, favorecendo a reação direta ou a indireta:
• A adição de reagentes favorece a reação direta; a adição de produto, a reação inversa;
• O aumento da pressão desloca o equilíbrio no sentido de menor volume gasoso (menor número de mol); a redução
desloca no sentido de maior volume gasoso (maior número de mol);
• O aumento de temperatura desloca no sentido da reação endotérmica; a redução desloca no sentido da reação
exotérmica;
• Catalisadores não deslocam o equilíbrio
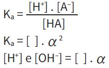
Equilíbrio iônico: É o equilíbrio de reações que envolvem íons e compostos iônicos. A constante de equilíbrio desses
compostos é a constante de ionização (Ka , Kb ou Ki)

Acidez e pH: ph = – log [h+] e poh = – log [OH–]
• Para qualquer solução aquosa, ph + poh = 14.
• Para solução ácida: [H+] > 10–7 mol/L, [OH–] < 10–7 mol/L (pH < 7 e pOH > 7).
• Para solução básica, [H+] < 10–7 mol/L e [OH–] > 10–7 mol/L (pH > 7 e pOH < 7).





